Топ-100
 
 

Где использовать гуминовые вещества?

Где использовать гуминовые вещества?

Сначала надо рассказать о той важной роли, которую гуминовые вещества выполняют в биосфере. Они участвуют в структурообразовании почвы, накоплении питательных элементов и микроэлементов в доступной для растений форме, регулировании геохимических потоков металлов в водных и почвенных экосистемах.

К концу XX века, одной из основных проблем которого стало химическое загрязнение окружающей среды, гуминовые вещества, как уже говорилось, начали выполнять роль естественных детоксикантов. Гумусовые кислоты связывают в прочные комплексы ионы металлов и органические экотоксиканты в воде и почве. Известно, что наиболее активен свободный токсикант, связанное вещество не так опасно, поскольку теряет биодоступность.
важная роль гуминовых веществ в биосфере
Во всех моделях биогеохимических циклов загрязняющих веществ, которые создают для того, чтобы оценить опасность, скорость накопления и время жизни ядов в окружающей среде, обязательно надо учитывать их взаимодействие с гумусовыми кислотами. Оно коренным образом меняет и химическое, и токсикологическое поведение вредных веществ. В свое время это дало новый импульс исследованиям — надо же было получить количественные характеристики взаимодействия гумусовых кислот с экотоксикантами.
Химики, вооруженные сложнейшими инструментальными методами, с энтузиазмом принялись за гумусовые вещества. Сегодня в «Chemical Abstracts» каждый год можно найти рецензии на более чем 2000 статей, посвященных этому вопросу. В результате накоплен колоссальный экспериментальный материал. Особо надо отметить тот факт, что наряду с теоретическими изысканиями растет количество прикладных исследований.
В каких областях сегодня применяют гуминовые вещества?
В последнее время перспективными считают органо-минеральные микроудобрения, содержащие гуматы калия и/или натрия с добавкой Fe, Cu, Zn, Mn, Mo, Co и B в хелатной форме. Особенно они хороши на карбонатных почвах, где, несмотря на высокие концентрации микроэлементов, содержание их в доступной для растений форме невелико. Надо сказать, что обычно для этих же целей применяют микроудобрения на основе синтетических лигандов (ЭДТА, ДТПА, ЭДДГА). Они эффективны, но в их промышленном производстве используют и монохлоруксусную кислоту, и этилендиамин, получаемые из хлорированных углеводородов. Конечно, такое производство небезопасно для человека и окружающей среды. Кроме того, если регулярно вносить удобрения с синтетическими лигандами, то они накапливаются в почве, а это ухудшает ее свойства. Поэтому создание и использование удобрений на основе гуминовых препаратов — куда более безопасная альтернатива.
Другое интересное применение гуминовых веществ — рекультивация загрязненных почв и вод. Их пытаются также применять для очистки и рекультивации территорий, загрязненных органическими веществами и нефтепродуктами, а также тяжелыми металлами. Уже разработаны и используются твердые сорбенты на основе гуминовых веществ.
Наряду со связывающими свойствами гуминовые вещества имеют ярко выраженные поверхностно-активные свойства. Поэтому их добавляют для лучшей растворимости гидрофобных органических веществ (например, нефтепродуктов). Гуминовые вещества входят в состав буровых растворов, а также служат основой растворов, предназначенных для промывания водоносных горизонтов, загрязненных ароматическими веществами. Также для этих целей используют синтетические ПАВ, но, в отличие о них, гуминовые вещества совершенно безопасны для природы.

Другие способы их применения пока остаются экзотикой. Основная причина — та самая гетерогенность структуры, которая, с одной стороны, дает чрезвычайно широкий спектр свойств, а с другой — неспецифичность действия.
Как уйти от этой неспецифичности, создать гуминовые вещества более направленного действия? Например, для рекультивации сред, загрязненных гидрофобными органическими соединениями, нужны гуминовые препараты, обладающие повышенным сродством по отношению к загрязняющим веществам, то есть тоже гидрофобные. А вот при создании микроудобрений на гуминовой основе они, наоборот, должны быть гидрофильными и прекрасно растворяться в воде. Поэтому, чтобы повысить эффективность применения гуминовых препаратов в конкретной области и расширить спектр их применения, надо научиться направленно менять их свойства. Причем получающийся продукт должен быть стабильным, а его свойства воспроизводимыми.
Чаще всего — в растениеводстве как стимуляторы роста или микроудобрения. В отличие от аналогичных синтетических регуляторов роста, гуминовые препараты не только влияют на обмен веществ растений.

При систематическом их использовании улучшается структура почвы, ее буферные и ионообменные свойства, становятся активнее почвенные микроорганизмы. Особого внимания заслуживают адаптогенные свойства — гуминовые препараты повышают способность растений противостоять болезням, засухе, переувлажнению, переносить повышенные дозы солей азота в почве. Преимущества гуминовых препаратов заключаются также в том, что они повышают усваивание питательных веществ, а значит, нужно меньше минеральных удобрений без ущерба для урожая.
Итак, цель — получение гуминовых производных с заданными свойствами. То есть надо найти такой способ их модификации, после которого усиливаются уже имеющиеся положительные свойства и появляются новые. Желательно вдобавок, чтобы такой способ можно было использовать в промышленном масштабе. При решении этой сложной химической проблемы надо, с одной стороны, максимально сохранить гуминовый каркас после серии реакций — в этом залог нетоксичности и устойчивости к биоразложению, а с другой стороны, максимально модифицировать в нужном направлении активные группы. Скажем несколько слов о предлагаемых методах и подходах. Чтобы увеличить растворимость комплексов с металлами в воде, на Химическом факультете МГУ мы провели сульфирование гуминовых веществ. Дело в том, что, когда речь идет о микроудобрениях с гуминовыми кислотами, растворимость комплексов гуминовых веществ с металлами ниже, чем у синтетических аналогов. Чтобы решить эту задачу, мы ввели дополнительные сульфогруппы, после чего, как показали эксперименты, растворимость гуматов железа действительно увеличилась.
Дизайн гуминовых материалов
Для решения другой задачи — увеличения гидрофобности гуминовых веществ — мы провели кислотный гидролиз гуминовых веществ. Напомним, что гуминовые молекулы состоят из двух строительных блоков, различающихся по химической природе: ароматического каркаса и углеводно-пептидной периферии. При этом известно, что в зависимости от того, какой фрагмент преобладает — гидрофобный ароматический или гидрофильная периферия, — будут сильно изменяться поверхностная активность и способность гуминовых веществ к гидрофобным взаимодействиям. Наши эксперименты подтвердили, что если разложить гуминовые вещества на составляющие, то, например, каркасные фрагменты на 20% лучше связывают пирен, чем исходные препараты.
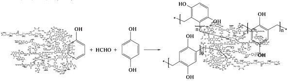
Совершенно другой тип модификации мы использовали для того, чтобы сделать гуминовые вещества более активными восстановителями. Дело в том, что именно восстановительные свойства определяют способность гуминовых препаратов нейтрализовать окисленные актиниды (например, плутоний). Мы взяли гуминовые вещества, полученные из окисленного угля — как мы уже говорили, основного сырья для промышленного производства гуминовых препаратов. У этих гуминовых веществ самое высокое содержание ароматического углерода (свыше 60%) и нет углеводных фрагментов. К ним мы присоединили различные хиноидные фрагменты с помощью фенолформальдегидной конденсации и получили высокоактивные гуминовые редоксполимеры. Они действительно лучше восстанавливали радионуклиды. Более того, чтобы сделать реакцию «зеленой» при производстве в промышленном масштабе, мы отработали такую реакцию, для проведения которой не нужен токсичный формальдегид. Оказалось, что такой способ позволяет ввести хиноидный фрагмент в гуминовые вещества «по выбору» — достаточно одного незамещенного положения в фенольном фрагменте гуминового каркаса.
В результате получается целый набор хиноидно обогащенных гуминовых производных с различными электрохимическими свойствами.
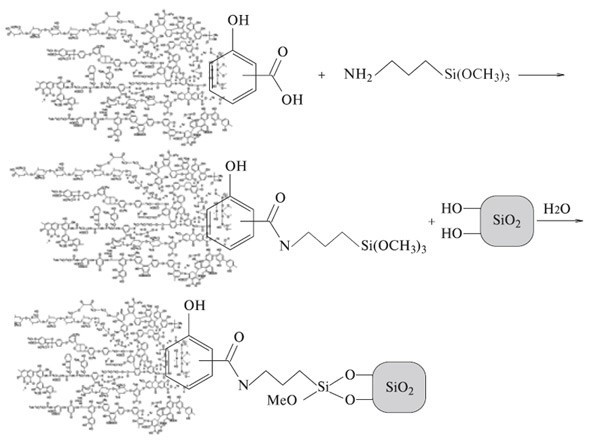
Следующий наш шаг — получение гуминовых производных с повышенной сорбционной способностью на минеральных матрицах. Зачем это нужно? Основное, что останавливает применение гуминовых веществ в природоохранных технологиях: после того как детоксикант вносят в почву и он адсорбирует металл, непонятно, как предотвратить его дальнейшее передвижение. Идеальным решением проблемы было бы заставить гуминовые вещества необратимо прилипать к минеральным поверхностям (например, к песку или глинам). Учитывая, что основная составляющая природных минералов — это кремнезем, то самый удобный способ — создать связь Si—О—Si между гуминовым веществом и минеральной матрицей. Тогда можно получить порошок с поверхностно-активными группами, которые после растворения в водоеме будут прилипать к минеральной поверхности. Вопрос только в том, как это сделать? Казалось бы, все просто: нужно ввести силанольный фрагмент в гуминовый каркас — и дело с концом. Но такие гуминовые вещества в воде будут полимеризоваться, и ничего хорошего из этого не выйдет.
Мы обратились за помощью к коллегам в лабораторию элементоорганических соединений Института синтетических полимерных материалов (ИСПМ) РАН. И решение было найдено: нужно вводить не силанольную группу, а алкоксисилильную. Такое вещество в воде будет гидролизоваться и высвобождать гуминовые вещества с силанольными группами. Сказано — сделано: были получены гуминовые производные, которые с успехом сели на силикагель (модель минерально поверхности) из водного раствора. Оказалось, что, изменяя степень модификации гуминовых веществ, можно управлять и свойствами, которыми будет обладать гуминовая пленка. По экспериментальным данным, новый препарат сорбирует плутоний почти на 95%.
Конечно, невозможно охватить в одной статье и даже в книге все накопленные данные по существующим способам и перспективам использования гуминовых веществ. Публикации последних лет содержат большое количество оригинальных предложений по новым областям применения гуминовых препаратов. Наряду с растениеводством их все больше используют в медицине, животноводстве и других областях.
Очередная конференция Международного гуминового общества называется «От молекулярного понимания — к инновационным применениям гуминовых веществ». Она пройдет в России (14–19 сентября 2008 года) под эгидой IUPAC, а ее организатор — Химфак МГУ. Это вполне закономерно подтверждает лидерство наших ученых в этой области химии. Кстати, они совершенно уверены, что это сырье будущего.
Почему? Потому что гуминовые вещества проявляют уникальные биологические свойства, не нанося никакого вреда природе.
Источник: Ирина Васильевна Перминова, доктор химических наук, «Химия и жизнь» №1, 2008